点击右上角微信好友

朋友圈

请使用浏览器分享功能进行分享

正在阅读:新CTLA-4抗体挑战肺鳞癌二线标准治疗 吴一龙团队研究登《自然・医学》
首页> 光明医药> 要闻 > 正文

新CTLA-4抗体挑战肺鳞癌二线标准治疗 吴一龙团队研究登《自然・医学》

来源:光明网2026-04-21 16:38

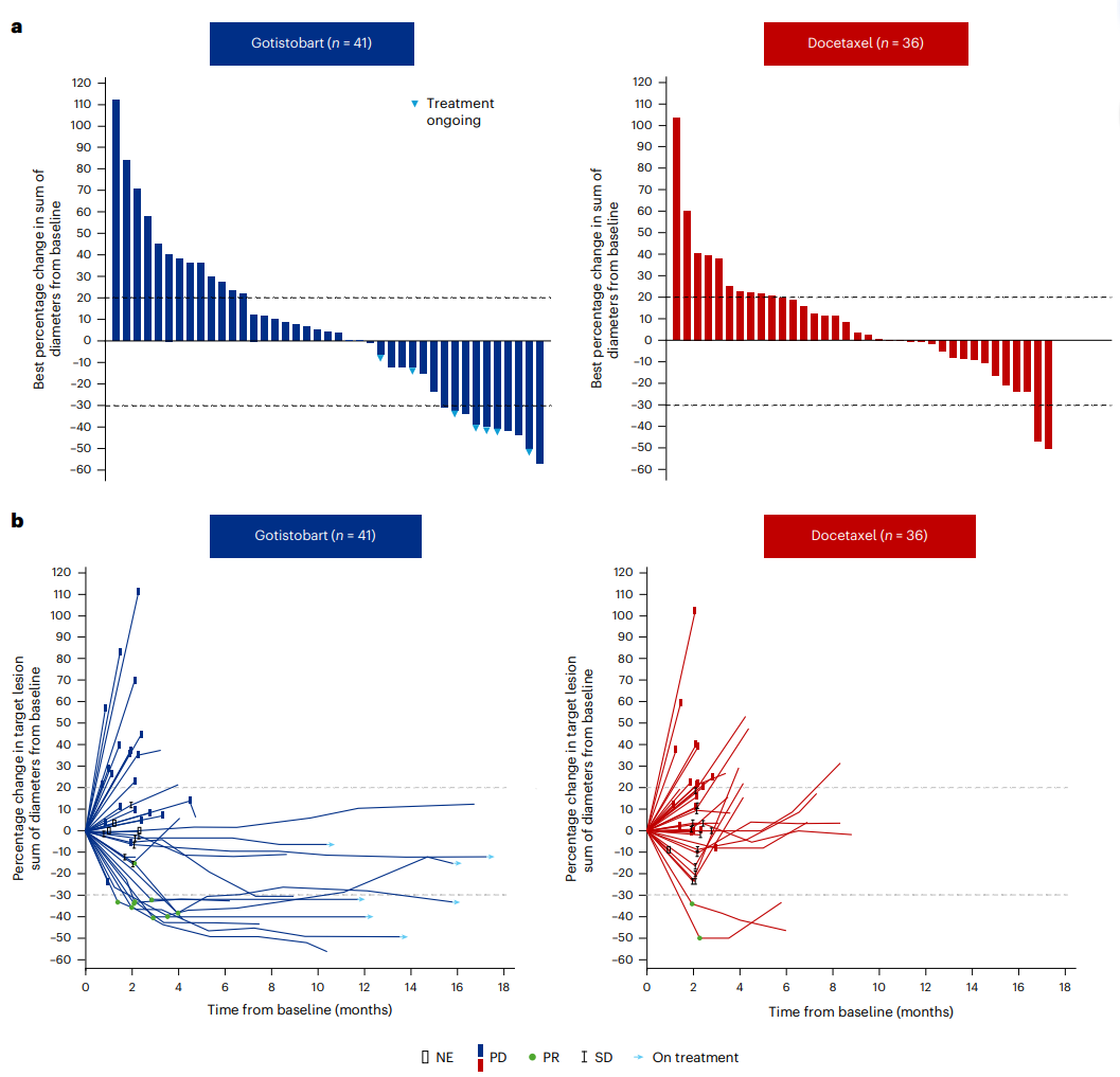
  近日,《自然·医学》(IF=50) 发表了由广东省人民医院吴一龙教授领衔的“比较 ONC-392 与多西他赛治疗经 PD-1/PD-L1 抑制剂治疗后进展的转移性非小细胞肺癌受试者的两阶段、随机对照多中心 Ⅲ 期临床研究”PRESERVE-003第一阶段结果。该研究公布了新型CTLA-4抑制剂Gotistobart(BNT316/ONC-392)在既往接受过PD-(L)1抑制剂联合化疗后进展的肺鳞癌患者中的疗效与安全性。

  晚期肺鳞癌患者的“二线困境”

  肺鳞癌是肺癌的常见类型,约占所有肺癌的25%—30%。对于晚期患者来说,目前主流的一线治疗是“免疫药+化疗”的组合拳,不少人能因此延长生存期。但问题是,一旦这个组合拳失效——也就是病情进展了,后续治疗就陷入了两难。

  过去20多年里,多西他赛是唯一的标准二线化疗药,患者用了之后,中位总生存期只能到8.0-9.4个月,疗效有限且毒性明显。这些年,医生和科研人员也尝试过不少新疗法,比如ADC药物、靶向药配合免疫等,但和多西他赛比起来,都没达到预期效果。简单说,晚期肺鳞癌患者一旦一线治疗失败,就面临着“没好药可用”的困境。

  关键突破:这款新型抗体到底强在哪?

  这次研究里的主角Gotistobart,是一种新型CTLA-4抑制剂。研究第一阶段纳入了87名患者,Gotistobart组45例,多西他赛组42例,随访了 14.5 个月后,结果让人惊喜:

  总生存期显著延长:Gotistobart组中位OS尚未达到(95% CI 9.3个月至未评估),而多西他赛组为10.0个月(95% CI 6.2–11.9个月),风险比(HR)为0.46,死亡风险降低54%(HR=0.46,P=0.0102)。12个月OS率翻倍,Gotistobart组为63.1%,多西他赛组仅为30.3%。这意味着,每10个患者里,用新药的能多3个人活过1年。

新CTLA-4抗体挑战肺鳞癌二线标准治疗 吴一龙团队研究登《自然・医学》

  客观缓解率提升,缓解持续时间更长:Gotistobart组的客观缓解率(ORR)为20.0%,而多西他赛组仅为4.8%。缓解持久性方面,Gotistobart的中位缓解持续时间(DoR)达11.0个月,远超多西他赛的3.8个月。尽管两组中位无进展生存期(PFS)相近(2.4个月 vs 2.6个月),但gotistobart在长期随访中呈现“尾部效应”,提示Gotistobart患者得到长期获益。

新CTLA-4抗体挑战肺鳞癌二线标准治疗 吴一龙团队研究登《自然・医学》

  安全性可控,停药率可接受:Gotistobart组≥3级治疗相关不良事件发生率为42.2%,低于多西他赛组的48.8%。因不良反应永久停药的患者比例为13%,未发生治疗相关死亡事件。最常见的不良反应为腹泻、结肠炎和ALT升高,管理策略成熟。

  目前,PRESERVE-003研究的第二阶段还在继续。作为该研究的主要研究者,吴一龙教授表示,如果第二阶段的结果和第一阶段一致,就能进一步确认Gotistobart的临床价值,有望推动它成为晚期肺鳞癌患者一线治疗失败后的新选择,打破20多年来的治疗瓶颈。(记者张梦凡 林佳欣) 

[ 责编:肖春芳 ]
阅读剩余全文(

相关阅读

您此时的心情

光明云投
新闻表情排行 /
  • 开心
     
    0
  • 难过
     
    0
  • 点赞
     
    0
  • 飘过
     
    0

视觉焦点

  • 粤港澳大湾区首台“华龙一号”核电机组投产发电

  • 第二十七届中国(寿光)国际蔬菜科技博览会开幕

独家策划

推荐阅读
记者从生态环境部获悉:近日,我国在酒泉卫星发射中心用长征四号丙运载火箭,成功将高精度温室气体综合探测卫星发射进入预定轨道,发射任务获得圆满成功。
2026-04-21 10:34
中医药是中国古代科学的瑰宝,凝聚着中华民族几千年来的健康养生理念及实践经验。“十五五”规划明确提出,要“推进中医药传承创新”,法治作为治国理政的基本方式,能够为中医药传承创新提供坚实保障。要充分发挥法治的固根本、稳预期、利长远作用,以高水平法治赋能中医药传承创新,让中医药这一千年瑰宝在时代浪潮中焕发新的生机与活力,为健康中国建设注入强劲动能。
2026-04-21 10:31
当下,春播春管自南向北次第展开,正是决定一年收成的重要时节。广袤田畴上,各地各部门抢抓农时促生产,科技气息漫遍阡陌,一幅生机盎然的春景图全面铺展。向科技要产能,以智慧启春耕,农业新质生产力在田野间落地生势,成为做好春播春管的底气。
2026-04-21 10:29
网络上针对牛奶到底能不能空腹喝的讨论从不曾停止。如果你空腹喝牛奶后,半小时到两小时内出现腹胀、肚子咕咕叫、排气、腹泻,那很可能是乳糖不耐受。空腹喝牛奶不会“伤胃”,反而可能“养胃”。
2026-04-21 10:26
安徽合肥的科大国盾量子技术股份有限公司内,展出了各类量子移动安全应用产品。合肥近年来不断强化“沿途下蛋”机制,通过企业、资本、科技的融合,助力大科学装置诞生科技成果,并让其孵化走向市场。
2026-04-21 10:25
正值春耕关键期,河南滑县的万亩麦田里,种粮大户不再需要徒步巡查耕地,只需轻点手机,卫星遥感图便将田块边界、墒情分布与作物长势清晰呈现。
2026-04-20 09:51
在苏州大学江苏省先进负碳技术重点实验室,纳米科学技术学院博士生郁操正操作X射线光电子能谱仪,分析一块特殊的测试样品。张晓宏表示,学校将继续深化“学术大师+创新团队”模式,完善交叉课程体系,培养出更多能服务地方产业、对接国家战略、为新质生产力助力的拔尖创新人才。
2026-04-20 09:47
绿色设计不仅是实现碳达峰、碳中和目标的关键工具,更是推动产业转型升级、培育新质生产力的源头性驱动力。“十五五”规划纲要明确提出:“鼓励企业提高绿色设计和制造水平,降低产品全生命周期能源资源消耗和生态环境影响。
2026-04-20 09:44
当前,全球具身智能产业进入从实验室研发到产业化落地的关键跃升期,成为大国科技博弈的重点领域。具身智能产业横跨人工智能、高端制造、新材料、电子信息等多元领域,唯有系统集成、协同创新才能释放最大效能。
2026-04-20 09:43
飞机即将着陆,一位怀抱婴儿的年轻妈妈突然求助——她头晕、想吐。这本书是谭先杰沉淀十多年的健康传播实践心得,也是他投身医学科普以来,对“如何做好健康科普”进行的系统性梳理。
2026-04-20 09:54
4月10日,国家网信办、国家发展改革委、工业和信息化部、公安部、市场监管总局联合公布《人工智能拟人化互动服务管理暂行办法》,自2026年7月15日起施行。”  郑庆华表示,同济大学正在推进人工智能伦理、算法治理与安全测评研究,重点攻坚用户极端情境识别、情感边界引导、未成年人身份识别等关键技术。
2026-04-20 09:47
4月19日7时30分,2026北京亦庄半程马拉松暨人形机器人半程马拉松鸣枪开跑,人形机器人与人类跑者同时从起点出发。也有专家提醒,人形机器人正步入以场景落地为核心的攻坚期,大规模量产与普及仍面临诸多挑战。
2026-04-20 09:45
记者16日从中国科学院国家空间科学中心获悉,来自该中心等单位的科研人员,通过三维数值模拟首次揭示,月球内部的金属月核在“感受”到太空磁场突变时,会像电磁感应一样产生感应电流和感应磁场,这股力量会挤压月球周围的太阳风,在月球两侧边缘形成一道特殊的“压缩带”。这项研究不仅揭示了月球导电内核在太阳风与月球相互作用中的重要作用,也为未来探测月球内部结构提供了新依据。
2026-04-17 10:30
据中国载人航天工程办公室消息,北京时间2026年4月17日01时36分,经过约5.5小时的出舱活动,神舟二十一号乘组航天员张陆、武飞、张洪章密切协同,在空间站机械臂和地面科研人员的配合支持下,圆满完成空间碎片防护装置安装、舱外设备设施巡检等任务。
2026-04-17 10:30
今年4月17日是第三十八个世界血友病日,主题为“诊断是关怀工作的第一步”。我国血友病患者诊疗现状如何?如何早识别、早干预?患者在日常生活中如何做好管理和防护?
2026-04-17 10:21
截至2026年3月31日,29个省(自治区、直辖市)和新疆生产建设兵团共154个统筹地区完成上年度医保基金清算,覆盖率达全国统筹区总数的39%,超额完成试点任务。其中,吉林白山、浙江宁波等43个非试点地区主动对标试点标准同步完成清算任务。山东、宁夏、北京、河北、海南、天津、河南等7地完成全省(自治区、直辖市)清算。
2026-04-17 10:20
商务部新闻发言人何亚东在16日举行的新闻发布会上表示,外资研发中心是我国创新体系的重要组成部分。2月,财政部、商务部等部门共同印发了有关通知,继续对外资研发中心进口有关科研用品免征进口关税和进口环节增值税、消费税。
2026-04-17 10:13
中国科学院微小卫星创新研究院15日发布轻舟试验飞船首批科学成果:关键技术验证方面,飞船测试了密封结构、推进、惯性测量、热控环控等核心系统。
2026-04-16 09:24
此次飞行对多项关键技术进行在轨考核,同时搭载27项科学试验载荷,还携带近300件青少年科普作品和一件《马踏雄风》瓷马进入太空。
2026-04-16 09:22
15日9时50分,由中国航空工业集团自主研制的HH-200航空商用无人运输系统,在航空工业民机试飞中心渭南运营基地平稳降落,圆满完成首飞。
2026-04-16 09:21
加载更多